《mathtype》怎么加粗 编辑

对于需要编辑复杂的数学公式和物理公式时很多小伙伴都会选择使用mathtype,对于重要的公式还可以进行加粗,下面我们就来看看关于mathtype加粗的方法教程吧。

《mathtype》怎么加粗

mathtype加粗的方法教程

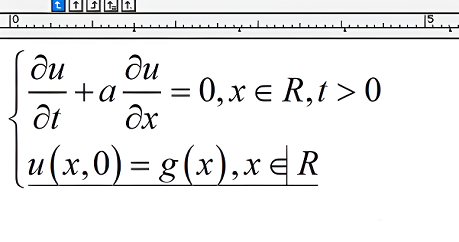
1、首先打开mathtype,输入公式。

《mathtype》怎么加粗

2、接着鼠标选中需要加粗的部分,点击菜单顶端“样式的下拉中点击“其他”。

《mathtype》怎么加粗

3、然后在图示位置勾选“加粗”选项,点击“确定”保存。

《mathtype》怎么加粗

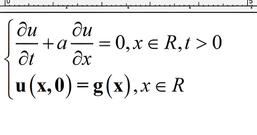
4、就可以得到加粗的文字啦,效果如下:

《mathtype》怎么加粗

以上就是mathtype怎么加粗的全部内容了, 希望能够帮助到各位小伙伴。更多软件相关的内容各位小伙伴们可以关注口袋百科,会一直给各位小伙伴们带来软件的教程!如果你对此文章存在争议,可在评论区留言和小伙伴们一起讨论