-
《快手》1-90级价格对照表 编辑
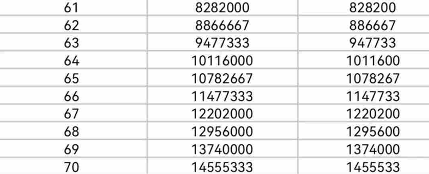
快手90级需要多少积分?需要刷多少钱呢?需要38298000积分,需要3829800RMB,那么下面就为大家带来快手1-90级最新价格对照表图,有兴趣的朋友可以来看看,希望下文可以帮到大家。
快手1-90级最新价格对照表图
直播间的积分获取方式:
在直播间给主播刷礼物能够增加积分。我们在直播间里面每刷出1快币的礼物或红包,即可增加1积分,达到相应的平台等级水平就自动升级,接着得到更高等级的权限,包括:对应的等级勋章、更特别的直播间入场提示及专属礼物特权等。
其他方式:
大家还能开通粉丝团,以及参与快币投票的方法增加用户积分。和刷礼物一样,1快币=1积分。当积分达到升级的要求,一样也会自动升级。
一元可以购买到10个快币,兑换的比列是10:1,则一快币相当于一积分;






