-
颜任光 编辑
颜任光(1888-1968年),又名颜嘉禄,字耀秋,今海南省乐东黎族自治县九所镇乐罗村人。物理学家、教育家。曾获得美国芝加哥大学物理博士学位。历任北京大学、私立海南大学、光华大学(今华东师范大学)教授。早期从事气体离子运动的研究,在测定气体离子的迁移率方面做了独到的研究,对几种气体的粘滞系数的绝对值做出了精确的测定。主要研究仪器仪表,特别是多种电表的设计制造,对发展我国的仪器仪表作出了重大贡献。
颜任光生育两男,长子颜瑞琪,留学加拿大,获博士学位,移居加拿大,曾任加拿大参议院议员;次子颜瑞璘博士,世界工程学界超长基干理论的创立者,获得这个领域的世界最高奖———罗诺福奖,他同时还获得爱因斯坦奖和爱迪生奖和赫芝奖,是美国科学领域里杰出的华裔科学家之一。胞弟颜任明,曾获得北京大学物理学硕士学位(当时北大颁发的最高学位),曾任崖县中学校长,备受崖州人士敬仰。
1888年 生于海南省乐东黎族自治县九所镇乐罗村。根据家谱记载,颜任光出生于1888年农历9月21日,是颜氏12世祖,别名为嘉禄。颜家是乐罗有名望的没落书香之家,颜任光之父荣清是前清贡生。
1912—1920年 在美国康乃尔大学学习机械工程,后专攻物理学。1916年入芝加哥大学,1918年 获该校物理学博士学位,后留校任教,次年又在该校赖尔逊物理实验室从事研究工作。
1920—1924年 任北京大学物理系教授、系主任(1921—1924)。1925—1937年 任上海大华科学仪器公司总工程师,兼任海南大学校长,光华大学(今华东师范大学)物理系主任、理学院院长、副校长等职。
1947年-1948年 受委托创立私立海南大学,担任私立海南大学首任校长,开创了海南高等学院之先河。
1948—1966年 任上海大华科学仪器公司研究室主任,上海电表厂副厂长兼总工程师。
1968年 卒于上海。1968年6月16日逝世,终年80岁。送花圈的有政协全国委员会副主席许德珩、中国科学院副院长周培元、严济慈、政协全国委员钱昌照、外经部副部长汪道涵等。
原上海电表厂副厂长兼总工程师、上海市第四届政协委员颜任光同志追悼会不久前举行。颜任光同志生前曾任上海市第四届政协委员、市电子学会理事、物理学会理事等职,因受林彪、“四人帮”迫害,于1968年6月16日含恨逝世,终年80岁。
中共上海市委统战部、政协上海市委员会、上海市革命委员会侨务办公室、一机部仪表总局、市仪表局等部门,政协全国委员会副主席许德珩,中国科学院副院长周培源、严济慈,政协全国委员会常务委员钱昌照,外经部副部长汪道涵,一机部副部长曹维廉、诸应璜等同志献了花圈。(1979年10月4日《文汇报》)
颜任光,又名颜嘉禄,字耀秋。1918年获美国芝加哥大学哲学博士学位后,曾在该校从事教学和研究工作。1920年秋回国,历任北京大学物理系教授、系主任,北京大学仪器委员会委员长。1922年2月被校长聘为物理系仪器部主任,还曾多次担任仪器委员会委员。
大约从1917年开始,北京大学理科已有物理实验课,本科一、二、三年级均有实验,每周为3小时。自从颜任光和丁燮林分别执掌物理系和理预科之后,他们特别注重实验室的建设,购置实验仪器或自制仪器、编写实验讲义、安排实验课程,尽量让学生的课堂理论学习和实验结合起来,培养学生的动手能力。同时,加强教师阵容,提高教学水平。作为系主任的颜任光,像电工一样经常携带着钳、锥等常用工具。他不仅在实验室为学生表演实验、解答疑难,而且经常要求学生并教学生使用刀、锉、锯、凿,做一些简单的铁制或木制器具。在课堂教学方面,颜任光还自制了许多简单教学设备,边讲课边表演。由于颜任光和丁燮林的努力,北京大学物理系的教学质量有了较大提高,也赢得了人们对该系的重视。20年代初,教育界有“南胡北颜”之称,推崇主持东南大学的胡刚复和北京大学物理系的颜任光,也足见其在中国物理学教学和培养人才上所建立的功勋。1920年年底,出访德国的夏元瑮教授来信告知北京大学,爱因斯坦有意访问中国。闻此讯,北京大学师生欢欣雀跃。当时在国际学术界有一句传说,“真能了解相对论原理者在世界上不过半打”,或说“不过6人”。为了迎接爱因斯坦到北京大学讲学,尤其是为了让北京大学师生对相对论基本知识有所了解,北京大学物理系的教授们顿时特别紧张忙碌起来。颜任光从1921年1月起,在北京大学作关于相对论的系统的演讲,报告了“相对论的起源”、“爱因斯坦的相对论”、“相对论的发展”等内容。在他的带领下,许多教授争先作有关相对论的报告,或撰文刊载于报纸、杂志。一时间掀起了一股学习相对论的热潮。虽然爱因斯坦并未如愿到北京大学访问,但是,人们却从北京大学教授们的讲演中获得了有关知识,对相对论有了深刻印象。
1924—1925年,颜任光休假出国访问一年,曾在英国剑桥大学卡文迪许实验室参观学习,卢瑟福当时正在该实验室从事γ粒子轰击氮核实验。这次出国,使他最为感慨的是:“巧妇难做无米之炊”,中国太缺少科学研究的仪器设备了!手中不掌握任何仪器的物理学家,再好的科学见解也未必能付诸实现。回国后,颜任光毅然放弃北京大学教授职位,和物理学家丁佐成共同创办了中国第一个现代科学仪器工厂——上海大华科学仪器公司。从此,中国有了自己生产的物理仪器、仪表。1932年,中国物理学会在北京成立。颜任光作为特邀代表,从上海赶到北京与会。在成立会上,他被选为中国物理学会第一届董事会董事(中国物理学会成立最初几年,设董事会),以后又曾任理事。他热心支持并赞助物理学事业,在物理学界留下极深的印象。
离开北京大学转入工业界后,颜任光一直关心教育事业的发展。在上海,他不仅兼任海南大学(海南岛)校长,还曾任上海光华大学物理系主任、理学院院长和副校长。30年代中期,一度出任交通部电政司司长、建设委员会委员、资源委员会委员等职。抗日战争期间,他主办桂林无线电器材厂。50到60年代,历任上海大华科学仪器公司研究室主任、工程师,华东工业部电器工业局电表制造指导,上海电表厂副厂长兼总工程师。“文化大革命”中他遭受迫害,1968年在上海愤懑而卒。
理论
在本世纪最初的两个10年期间,关于离子迁移的问题在理论上和实验上都存在着混乱。一种假说认为,每单个离子不是单个的带电分子,而是在其周围环绕着基本电荷的中性分子团。因此,这样的离子的质量大于每个分子不带电时的分子团质量,在相同的条件下这样的离子就比单个不带电的分子移动得慢。另一种假设认为,离子是单个的带电分子或称“小离子”,它的缓慢的迁移率是由于它携有电荷而在通过气体的路径上减速的缘故。这两个假设是不相同的,但它们都被当时物理学界一部分人所接受。在实验方面,也存在着相互对立的结果。颜任光正是在当时不同的理论与实验处在分庭抗礼的情形下,在密立根教授指导下从事了气体离子迁移率的研究。交流电势的方法
颜任光采用卢瑟福-弗兰克交流电势的方法,也是洛布1916年采用的方法;实验装置也与洛布在1916年采用的相同,只是个别细节有所改进。首先,颜任光重复了洛布的实验;然后在场强从9至6669伏/厘米下测量了氢离子的迁移率,在场强从11至17670伏/厘米下测量了氮离子的迁移率。实验结果不仅证明了“小离子”的结论,而且发现了up=常数的规律。式中,u是迁移率,p是气体压强。颜任光的实验所以成功,令人信服,并且有新发现,是因为他的实验特别注意到气体的产生和净化,以及气体中出现的自由电子,并且认真地测量了在高压和低压下自由电子的相对数量。这样,他就可以尽量排除自由电子对离子迁移的影响。颜任光的实验,加深了人们对离子性质及其迁移缓慢原因的理解。
“流逸法”
在颜任光之前,最精确的气体粘滞系数测定法是利用气体通过毛细管流动的所谓“流逸法”。鉴于毛细管的孔径、大小和形状的无规性,以及在其末端易产生涡流,因此,流逸法最准确的测定值也只是相对值。在密立根教授指导下,颜任光开创了气体粘滞系数绝对值的测定方法。他选择这一课题的另一原因是,在密立根开创油滴法测定电荷之后,测定电荷的精确度就仅仅决定于油滴在气体中下落的粘滞系数的绝对值。因而,对气体粘滞系数绝对值的测定就成了当时一项紧迫的研究课题。
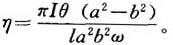
颜任光所采用的方法是:让外圆筒以恒定角速度ω绕另一个用扭力悬丝悬挂的内圆筒旋转。从理论上推得的粘滞系数为,式中,I为悬挂系统的转动惯量,和b分别为外圆筒和内圆筒的半径,θ为内圆筒转过的角度,l为内圆筒的长度。该式中各个量值均可以高精度测得。在实验中,颜任光利用了密立根设计并改进的恒偏转装置,而且还改进了测量偏转角θ的方法,从而显著地提高了精确度。在整个实验的结果中误差大约不超过千分之一。颜任光测定了氢气、氧气和氮气的粘滞系数,修正了当时通用的物理化学用表中已被公认的粘滞系数表。
博士村
提起颜任光,可能熟知中国物理学历史的人都会知道,他是中国实验物理学的奠基人之一。可是却很少有人知道,这位大名鼎鼎的物理学博士,是出生在海南乐东的乐罗村。 上个世纪初年,乐罗村颜氏一家出现了留美博士颜任光等三名博士和一名硕士的家族奇迹,乐罗“博士村”的美名在海南不胫而走。在乐罗村村民口中津津乐道的名字中,一个是陈垂斌,另一个就是颜任光。
家贫苦读成大器
因为自豪,乐罗村民将颜任光的事迹编入了他们的《乐罗史志》 。志书中提及,1888年出生的颜任光在孩提时代贪玩、顽皮,但智力却过人,有过目不忘的本领。字里行间,依稀可见这位大博士童年在乐罗村的快乐生活。
但现实的生活条件很是残酷,据颜家家谱记载,囿于经济条件,颜任光读完私塾后就无法升学,幸得族兄嘉义慷慨资助,让他继续就读。此时,在乐罗马岭山边设立教会和小学的美国牧师冶基善向颜任光伸出了救助之手,家境贫困的他得以在教堂附设的小学工读。颜任光不负厚望,成绩优异,先是被送往海南圣经学校读书,后被保送广州的岭南中学,他的聪敏和刻苦让他提前三年毕业,接着升入岭南大学。不久,颜任光考取公费留学美国。在美国,颜任光先后在康奈尔大学、芝加哥大学获得了硕士、博士学位。
学成归国后,颜任光历任北京大学、私立海南大学、光华大学教授。他为中国的物理学事业作出了重大的贡献,在1989年版的《辞海》有着这样的记载:“颜任光早期从事气体离子运动的研究,主要研究仪器仪表,特别是多种电表的设计制造,对发展我国的仪器仪表作出了重大贡献……”。以科学成就而荣登《辞海》,这在海南人中寥寥无几。在上个世纪20年代初,教育界有“南胡北颜”之称,所指的就是主持东南大学的胡刚复和北京大学物理系的颜任光。
慷慨谴责军阀暴行
颜任光不是埋头于学术研究的,1925年6月,也就是震惊中外的“五卅”惨案后,颜任光与胡适、丁文江等四位名教授,发出慷慨激昂的三千字电报,谴责军阀的暴行,得到全国各地大中学生的热烈响应,他们纷纷走上街头,示威游行,轰动一时。
对于祖国,对于故乡,颜任光有着一腔炽热的爱恋。1949年解放前夕,颜任光迁居香港准备潜心搞科研。后来,为了响应周恩来的号召,颜任光毅然从香港回到上海,参加社会主义建设,为发展国家的电力、仪器事业发挥自己的技术和专长。令人遗憾的是,这位为祖国的科学事业奉献了心血的科学家,在文化大革命中受到“四人帮”的迫害,于1968年含恨离世。
一门俊秀美名扬
也许是由于年代比较久远熟识的人已经过世,也许是由于颜任光自出国留学后就极少回到村子里来,乐罗村里有关颜任光的故事极少,很多村民只是听说过这个人,而不知其事。如今,除了他们的亲人每年清明为他们祭奠外,村里的年轻一代大多已不知道颜任光这个名人以及他一门俊秀的往事了。不过,许多上了年纪的村民们在说到乐罗村时都会自豪地提到,我国著名物理学家颜任光先生就是从这个村里走出去的,他及其子嗣,曾以聪明才智和杰出贡献,在我国的科技文化事业上写下光辉一页,创造出海南岛“博士村”的美名。
乐东九所镇乐罗村南坊的一块坡地上,颜任光的家人为他建造了一座纪念碑,在先生的衣冠冢墓碑上写着的对联:“博学著中外汗洒科坛兴华夏功垂史册,硕行闻海内血荐轩辕育英才名留人间”。











